Официальное опубликование правовых актов
ОФИЦИАЛЬНОЕ ОПУБЛИКОВАНИЕ
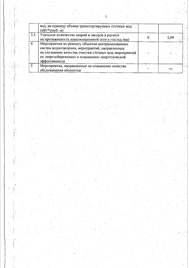
Приказ Комитета по тарифам и энергетике Псковской области от 22.11.2022 № 133-в
"О внесении изменений в приказ Государственного комитета Псковской области по тарифам и энергетике от 21.11.2018 № 89-в "Об утверждении производственных программ, установлении долгосрочных параметров регулирования и тарифов в сфере холодного водоснабжения, водоотведения на 2019 - 2023 гг."
Номер опубликования: 6001202211280006
Дата опубликования: 28.11.2022
Страница №5 из 8:
Увеличить