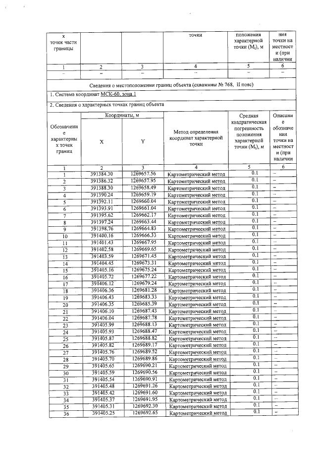
Приказ Комитета по природным ресурсам и экологии Псковской области от 20.10.2022 № 592
"О внесении изменений в приложение к приказу Государственного комитета Псковской области по природопользованию и охране окружающей среды от 21.06.2016 № 560 "Об утверждении Проекта зон санитарной охраны скважины на воду ООО "Джи Эль Инвест", расположенной по адресу: ул. Больничная, д. 54, п.г.т. Красногородск, Псковская область"
"О внесении изменений в приложение к приказу Государственного комитета Псковской области по природопользованию и охране окружающей среды от 21.06.2016 № 560 "Об утверждении Проекта зон санитарной охраны скважины на воду ООО "Джи Эль Инвест", расположенной по адресу: ул. Больничная, д. 54, п.г.т. Красногородск, Псковская область"
Номер опубликования: 6001202210280015
Дата опубликования:
28.10.2022
