Официальное опубликование правовых актов
ОФИЦИАЛЬНОЕ ОПУБЛИКОВАНИЕ
Приказ Комитета по охране объектов культурного наследия Псковской области от 11.05.2022 № 346
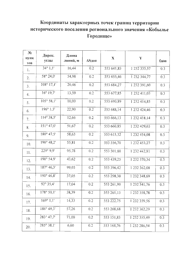
"Об утверждении предмета охраны, границ территории и требований к градостроительным регламентам в границах территории исторического поселения регионального значения "Кобылье Городище"
Номер опубликования: 6001202205180004
Дата опубликования: 18.05.2022
Страница №16 из 64:
Увеличить