Официальное опубликование правовых актов
ОФИЦИАЛЬНОЕ ОПУБЛИКОВАНИЕ
Приказ Комитета по природным ресурсам и экологии Псковской области от 06.05.2022 № 290
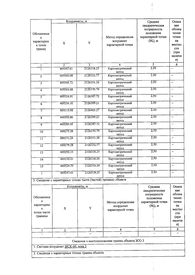
"О внесении изменений в приказ Государственного комитета Псковской области по природопользованию и охране окружающей среды от 28.03.2017 № 291 "Об утверждении Проекта зон санитарной охраны скважины на воду № 4661 колхоза "Заря", расположенной на южной окраине д. Железная Гора Порховского района Псковской области"
Номер опубликования: 6001202205120004
Дата опубликования: 12.05.2022
Страница №3 из 5:
Увеличить