Приказ Комитета по охране объектов культурного наследия Псковской области от 22.12.2021 № 760
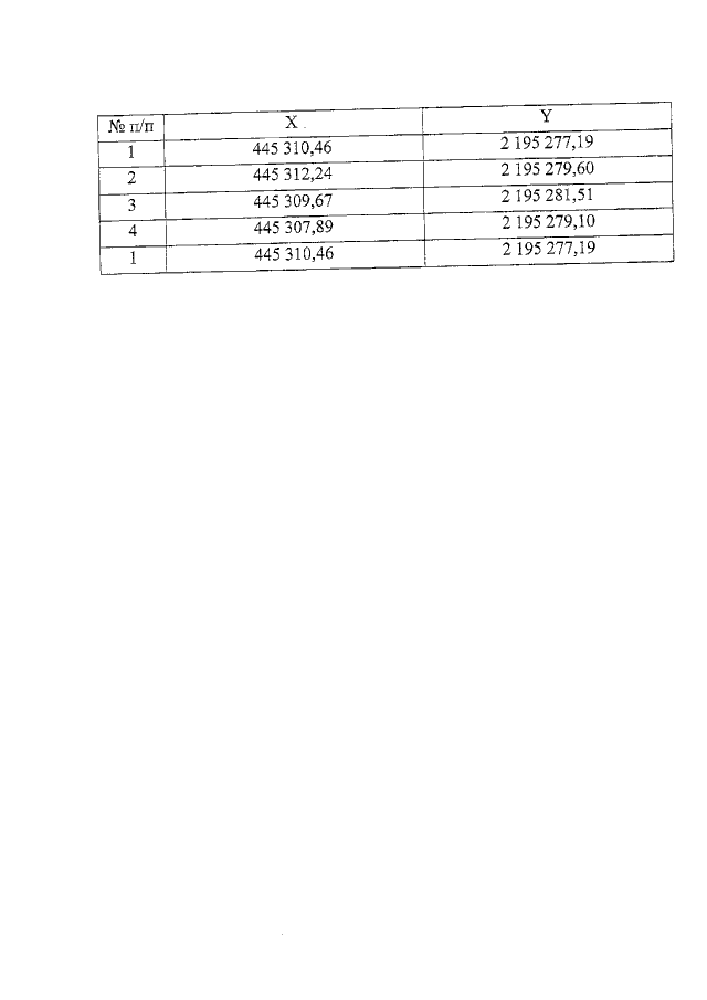
"Об утверждении границ территории объекта культурного наследия регионального значения "Могила неизвестного солдата", 1944 г., расположенного по адресу: Псковская область, Бежаницкий район, сельское поселение "Чихачевское", д. Друсино"
"Об утверждении границ территории объекта культурного наследия регионального значения "Могила неизвестного солдата", 1944 г., расположенного по адресу: Псковская область, Бежаницкий район, сельское поселение "Чихачевское", д. Друсино"
Номер опубликования: 6001202112240003
Дата опубликования:
24.12.2021
