Официальное опубликование правовых актов
ОФИЦИАЛЬНОЕ ОПУБЛИКОВАНИЕ
Приказ Комитета по охране объектов культурного наследия Псковской области от 30.11.2020 № 842
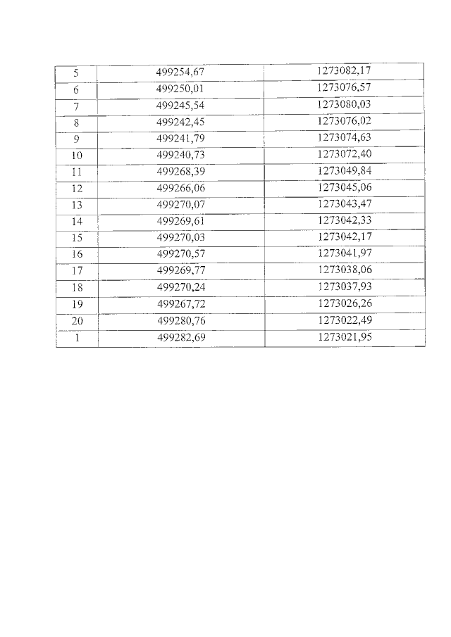
"Об утверждении границы территории объекта культурного наследия регионального значения "Дом жилой", нач. ХХ в., расположенного по адресу: Псковская область, г. Псков, ул. Советская, 41"
Номер опубликования: 6001202012010003
Дата опубликования: 01.12.2020
Страница №5 из 7:
Увеличить