Официальное опубликование правовых актов
ОФИЦИАЛЬНОЕ ОПУБЛИКОВАНИЕ
Приказ Комитета по охране объектов культурного наследия Псковской области от 13.11.2020 № 724
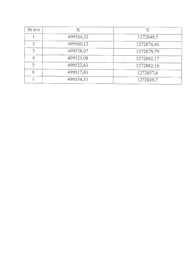
"Об утверждении границы территории объекта культурного наследия регионального значения "Дом жилой", нач. ХХ в., расположенного по адресу: Псковская область, г. Псков, ул. Детская, 4"
Номер опубликования: 6001202011190019
Дата опубликования: 19.11.2020
Страница №4 из 6:
Увеличить