Официальное опубликование правовых актов
ОФИЦИАЛЬНОЕ ОПУБЛИКОВАНИЕ
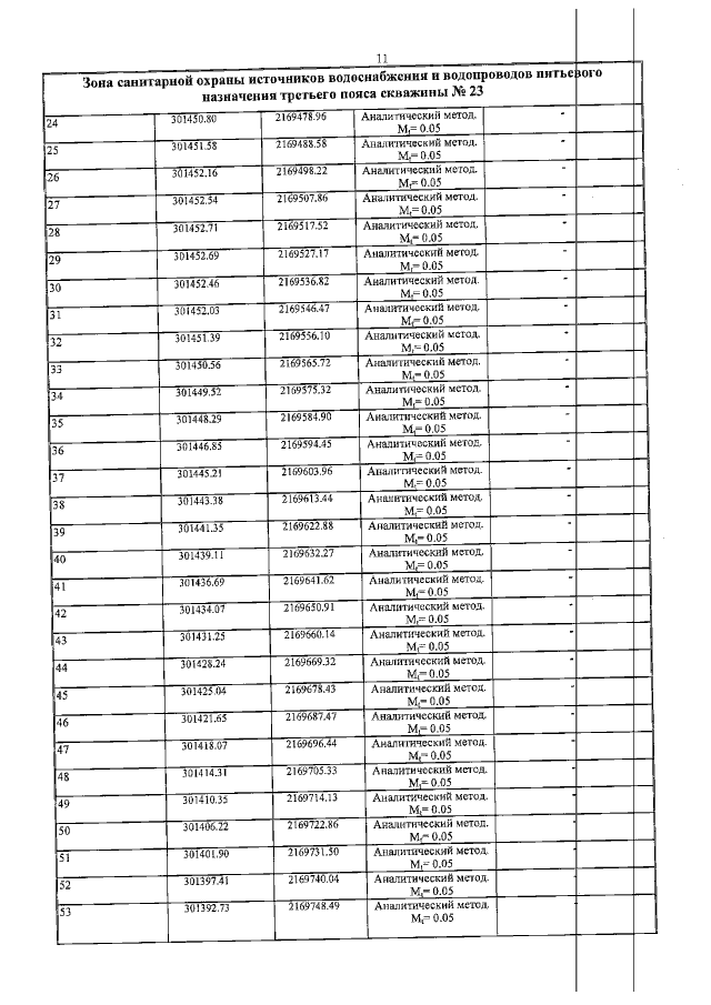
Приказ Комитета по природным ресурсам и экологии Псковской области от 13.11.2020 № 545
"Об установлении зон санитарной охраны источника питьевого, хозяйственно-бытового водоснабжения и технологического обеспечения"
Номер опубликования: 6001202011170009
Дата опубликования: 17.11.2020
Страница №13 из 22:
Увеличить