Официальное опубликование правовых актов
ОФИЦИАЛЬНОЕ ОПУБЛИКОВАНИЕ
Приказ Комитета по охране объектов культурного наследия Псковской области от 25.05.2020 № 254
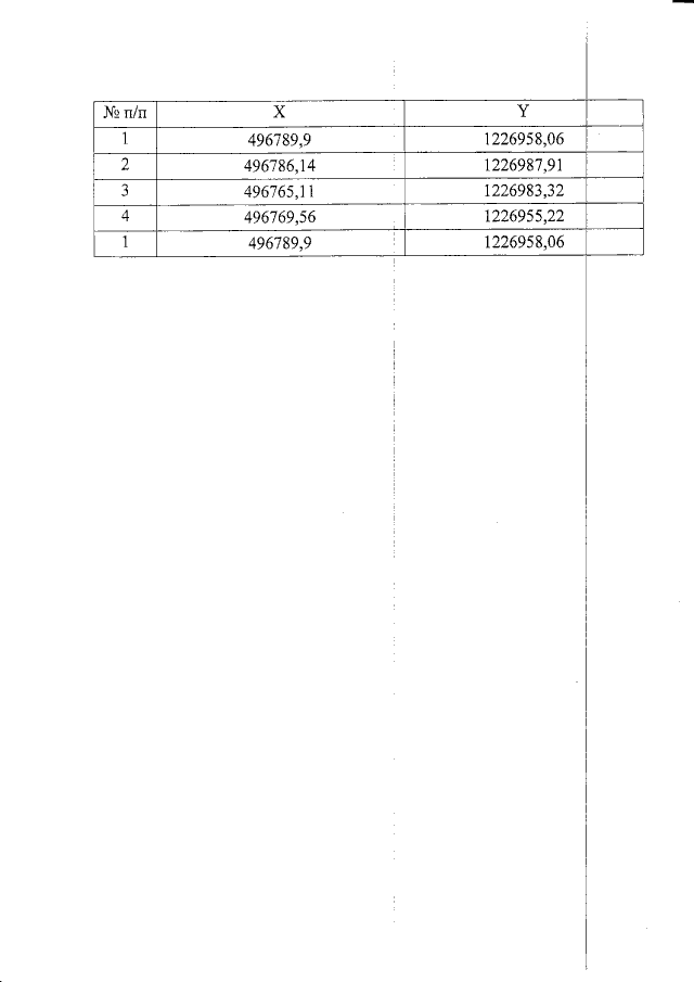
"Об утверждении границы территории объекта культурного наследия федерального значения "Церковь Никольская (Тайловская)", XVII в., расположенного по адресу: Псковская область, Печорский район, городское поселение "Печоры", дер. Тайлово"
Номер опубликования: 6001202005270001
Дата опубликования: 27.05.2020
Страница №4 из 5:
Увеличить