Официальное опубликование правовых актов
ОФИЦИАЛЬНОЕ ОПУБЛИКОВАНИЕ
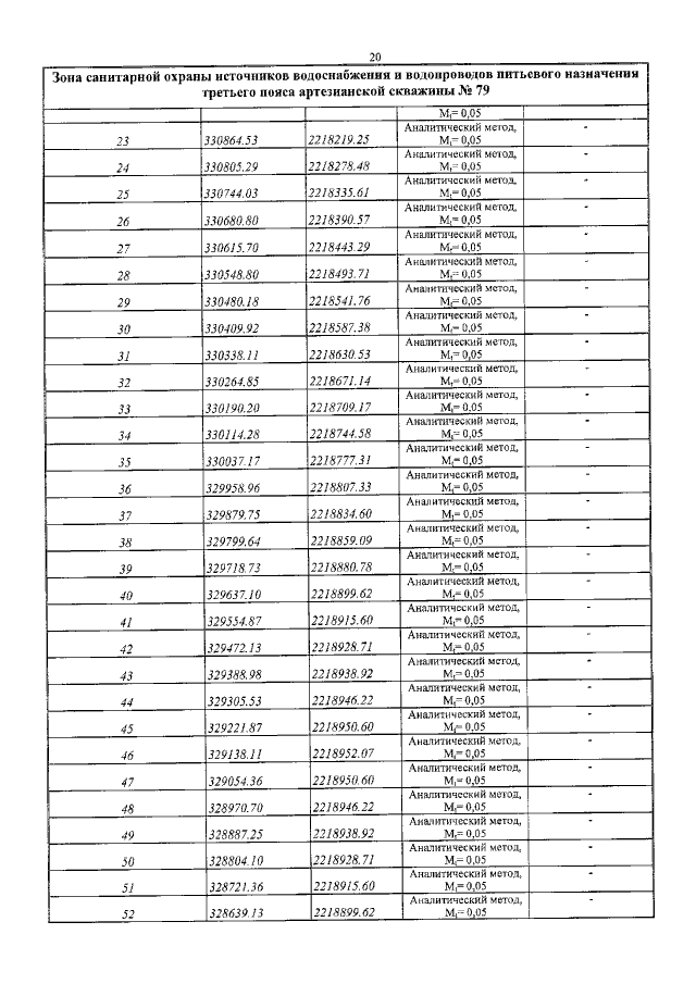
Приказ Комитета по природным ресурсам и экологии Псковской области от 21.05.2020 № 244
"Об установлении зон санитарной охраны источника питьевого и хозяйственно-бытового водоснабжения и технологического обеспечения"
Номер опубликования: 6001202005260002
Дата опубликования: 26.05.2020
Страница №22 из 27:
Увеличить