Официальное опубликование правовых актов
ОФИЦИАЛЬНОЕ ОПУБЛИКОВАНИЕ
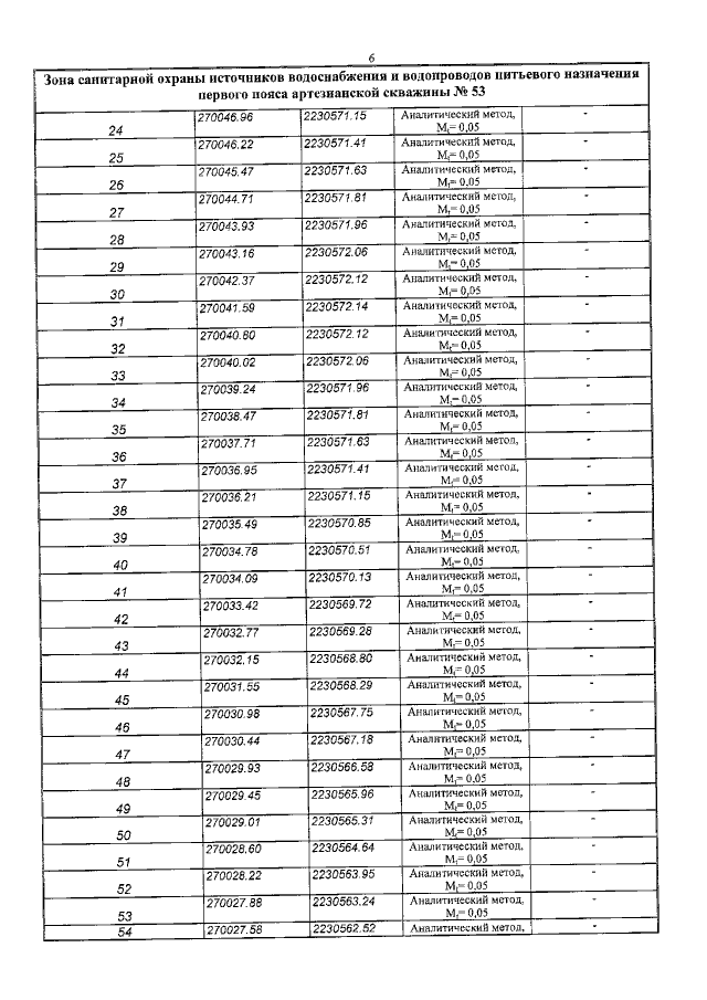
Приказ Комитета по природным ресурсам и экологии Псковской области от 20.01.2020 № 16
"Об установлении зон санитарной охраны источника питьевого и хозяйственно-бытового водоснабжения"
Номер опубликования: 6001202001280020
Дата опубликования: 28.01.2020
Страница №8 из 25:
Увеличить