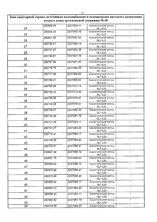
Приказ Комитета по природным ресурсам и экологии Псковской области от 22.01.2020 № 33
"Об установлении зон санитарной охраны источника питьевого и хозяйственно бытового водоснабжения"
"Об установлении зон санитарной охраны источника питьевого и хозяйственно бытового водоснабжения"
Номер опубликования: 6001202001280012
Дата опубликования:
28.01.2020
