Официальное опубликование правовых актов
ОФИЦИАЛЬНОЕ ОПУБЛИКОВАНИЕ
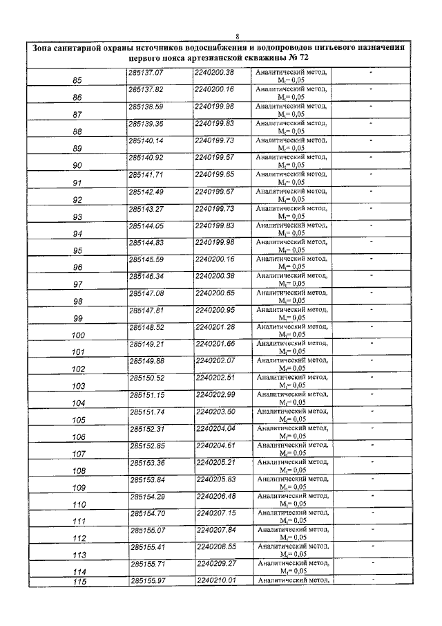
Приказ Комитета по природным ресурсам и экологии Псковской области от 20.01.2020 № 23
"Об установлении зон санитарной охраны источника питьевого и хозяйственно-бытового водоснабжения"
Номер опубликования: 6001202001280002
Дата опубликования: 28.01.2020
Страница №10 из 25:
Увеличить