Официальное опубликование правовых актов
ОФИЦИАЛЬНОЕ ОПУБЛИКОВАНИЕ
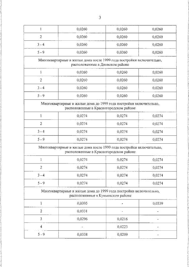
Приказ Комитета по тарифам и энергетике Псковской области от 05.11.2019 № 76-н
"Об утверждении нормативов потребления коммунальной услуги по отоплению на территории Псковской области"
Номер опубликования: 6001201911080013
Дата опубликования: 08.11.2019
Страница №4 из 13:
Увеличить