Официальное опубликование правовых актов
ОФИЦИАЛЬНОЕ ОПУБЛИКОВАНИЕ
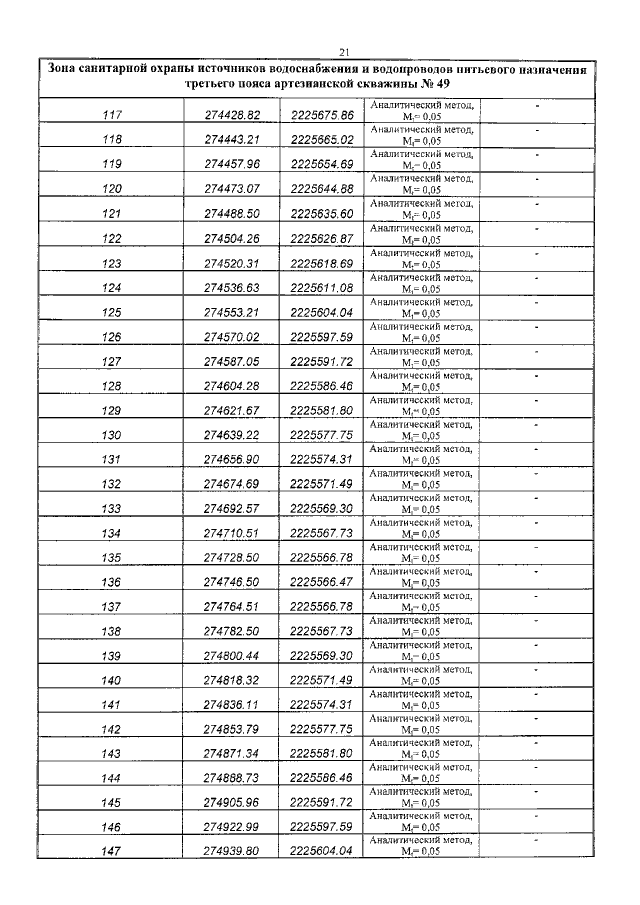
Приказ Комитета по природным ресурсам и экологии Псковской области от 15.10.2019 № 695
"Об установлении зон санитарной охраны источника питьевого и хозяйственно бытового водоснабжения"
Номер опубликования: 6001201910210006
Дата опубликования: 21.10.2019
Страница №23 из 25:
Увеличить