Официальное опубликование правовых актов
ОФИЦИАЛЬНОЕ ОПУБЛИКОВАНИЕ
Приказ Комитета юстиции Псковской области от 12.07.2019 № 124-ОД
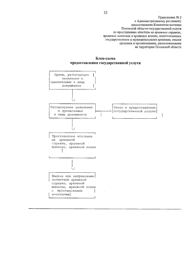
"Об утверждении Административного регламента предоставления Комитетом юстиции Псковской области государственной услуги по проставлению апостиля на архивных справках, архивных выписках и архивных копиях, подготовленных государственным и муниципальными архивами, иными органами и организациями, расположенными на территории Псковской области"
Номер опубликования: 6001201907170003
Дата опубликования: 17.07.2019
Страница №32 из 35:
Увеличить