Официальное опубликование правовых актов
ОФИЦИАЛЬНОЕ ОПУБЛИКОВАНИЕ
Приказ Комитета по транспорту и дорожному хозяйству Псковской области от 15.01.2019 № 8
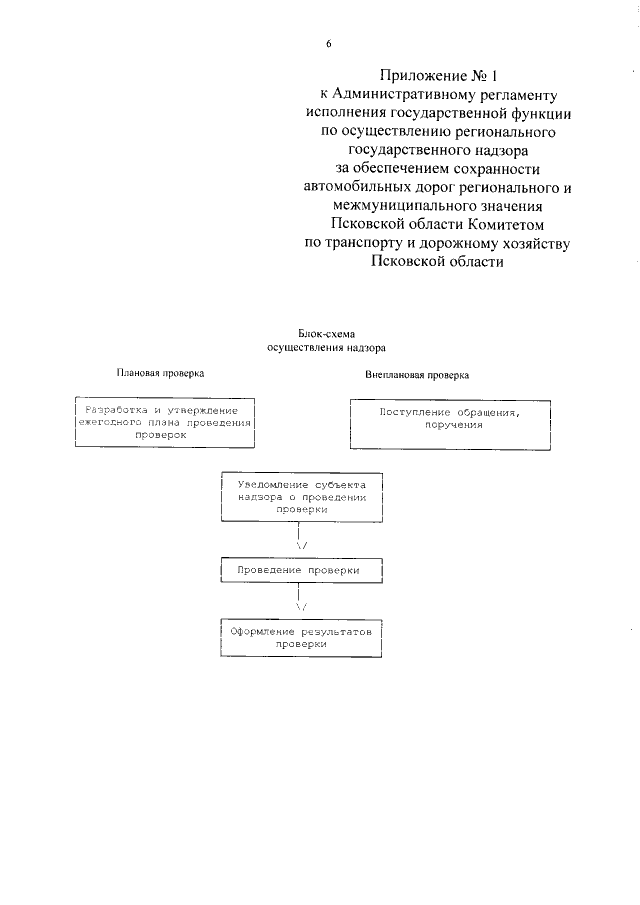
"О внесении изменений в приказ Государственного комитета Псковской области по транспорту от 20 апреля 2017 г. № 91 "Об утверждении Административного регламента исполнения государственной функции по осуществлению регионального государственного надзора за обеспечением сохранности автомобильных дорог регионального и межмуниципального значения Псковской области Государственным комитетом Псковской области по транспорту"
Номер опубликования: 6001201901160006
Дата опубликования: 16.01.2019
Страница №6 из 13:
Увеличить