Официальное опубликование правовых актов
ОФИЦИАЛЬНОЕ ОПУБЛИКОВАНИЕ
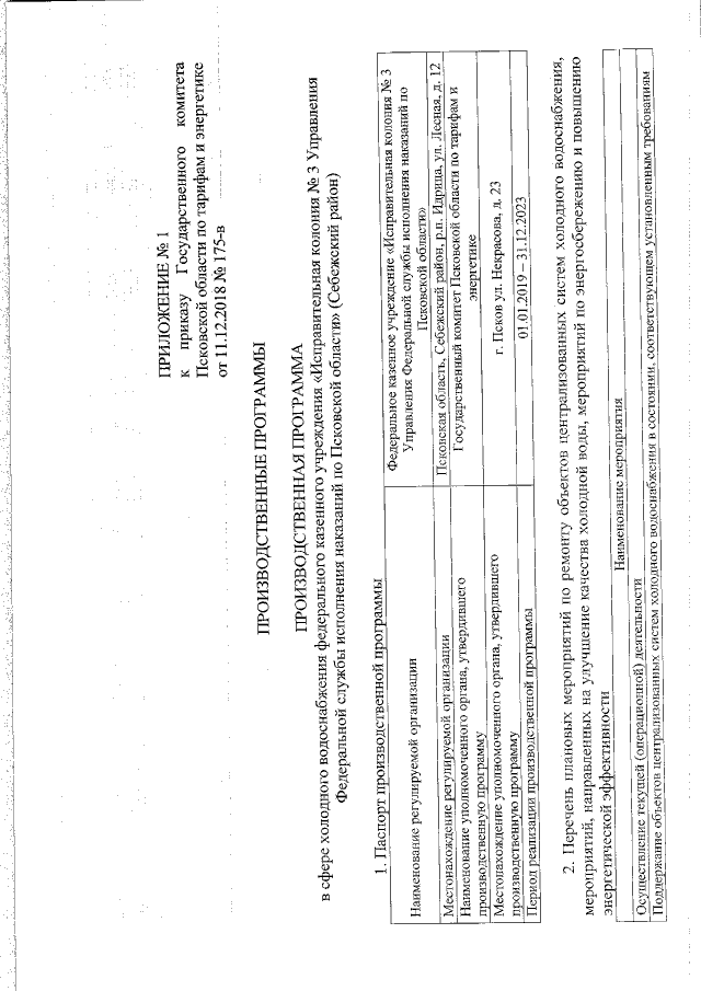
Приказ Государственного комитета Псковской области по тарифам и энергетике от 11.12.2018 № 175-в
"Об утверждении производственных программ, установлении долгосрочных параметров регулирования и тарифов в сфере холодного водоснабжения, водоотведения на 2019-2023 гг."
Номер опубликования: 6001201812170009
Дата опубликования: 17.12.2018
Страница №3 из 20:
Увеличить