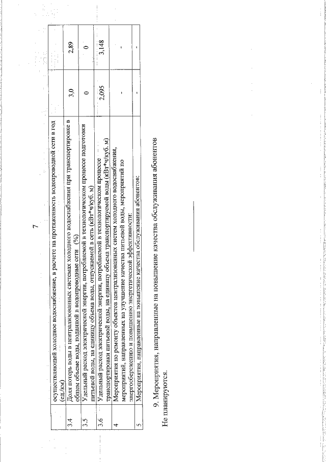
Приказ Государственного комитета Псковской области по тарифам и энергетике от 11.12.2018 № 171-в
"Об утверждении производственной программы, установлении долгосрочных параметров регулирования и тарифов в сфере холодного водоснабжения на 2019-2023 гг."
"Об утверждении производственной программы, установлении долгосрочных параметров регулирования и тарифов в сфере холодного водоснабжения на 2019-2023 гг."
Номер опубликования: 6001201812170008
Дата опубликования:
17.12.2018
