Официальное опубликование правовых актов
ОФИЦИАЛЬНОЕ ОПУБЛИКОВАНИЕ
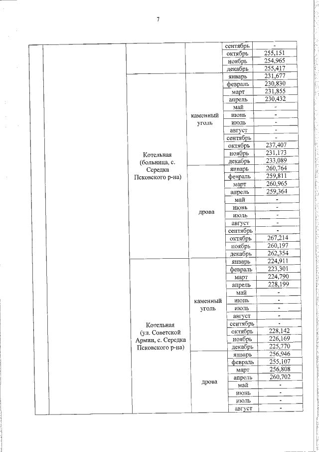
Приказ Государственного комитета Псковской области по тарифам и энергетике от 01.08.2018 № 37-н
"Об утверждении нормативов удельного расхода топлива при производстве тепловой энергии источниками тепловой энергии, расположенными на территории Псковской области, на 2019 год"
Номер опубликования: 6001201808070002
Дата опубликования: 07.08.2018
Страница №8 из 9:
Увеличить