Официальное опубликование правовых актов
ОФИЦИАЛЬНОЕ ОПУБЛИКОВАНИЕ
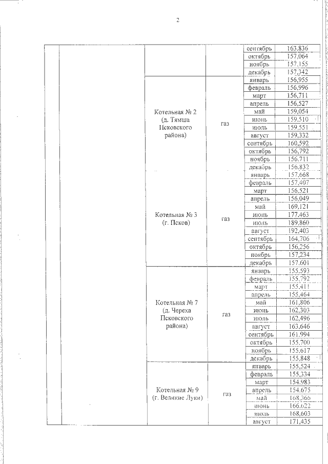
Приказ Государственного комитета Псковской области по тарифам и энергетике от 07.05.2018 № 19-н
"Об утверждении нормативов удельного расхода топлива при производстве тепловой энергии источниками тепловой энергии, расположенными на территории Псковской области, на 2019 год"
Номер опубликования: 6001201805140003
Дата опубликования: 14.05.2018
Страница №3 из 6:
Увеличить