Официальное опубликование правовых актов
ОФИЦИАЛЬНОЕ ОПУБЛИКОВАНИЕ
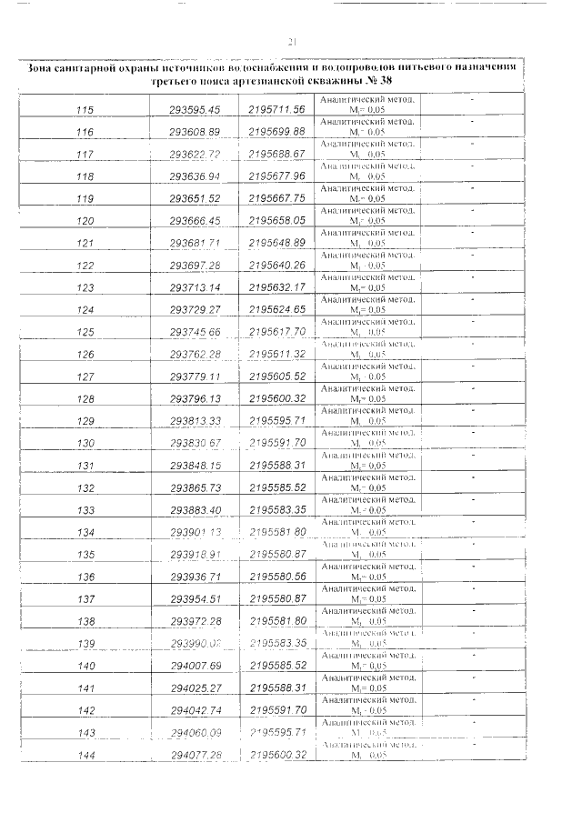
Приказ Государственного комитета Псковской области по природопользованию и охране окружающей среды от 07.05.2018 № 332 "Об утверждении Проекта зон санитарной охраны водозабора (скважина № 38) на территории ООО "Великолукский свиноводческий комплекс", расположенного в Невельском районе Псковской области на участке № 20"
Номер опубликования: 6001201805110001
Дата опубликования: 11.05.2018
Страница №23 из 25:
Увеличить