Официальное опубликование правовых актов
ОФИЦИАЛЬНОЕ ОПУБЛИКОВАНИЕ
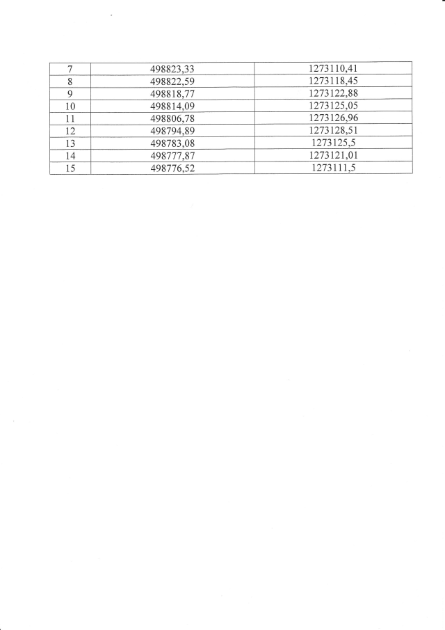
Приказ Государственного комитета Псковской области по охране объектов культурного наследия от 12.01.2018 № 9
"Об утверждении границы территории объекта культурного наследия федерального значения "Братская могила русских воинов, павших в бою в 1581 г. с польскими войсками короля Стефана Батория", 1581 г., расположенного по адресу: Псковская область, г. Псков, за крепостной стеной Окольного города, у Баториева пролома"
Номер опубликования: 6001201801190001
Дата опубликования: 19.01.2018
Страница №4 из 6:
Увеличить