Официальное опубликование правовых актов
ОФИЦИАЛЬНОЕ ОПУБЛИКОВАНИЕ
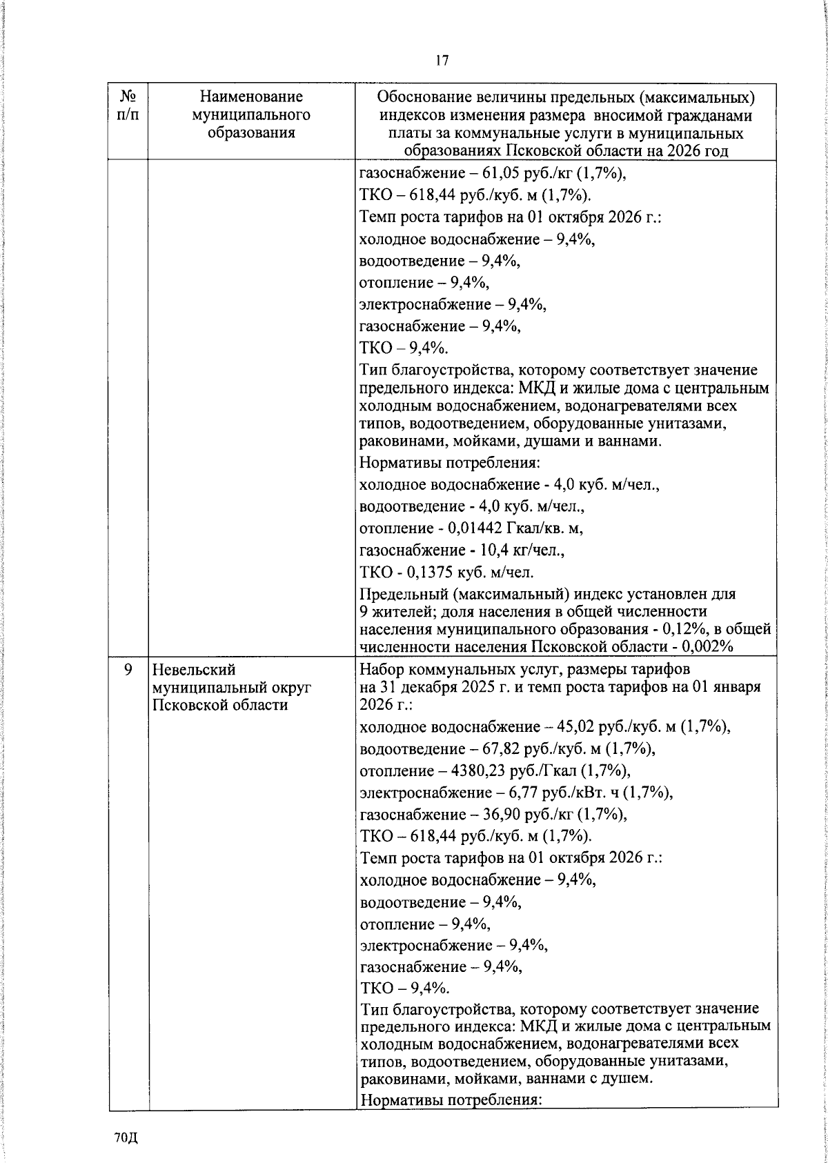
Указ Губернатора Псковской области от 11.12.2025 № 226-УГ
"О внесении изменений в указ Губернатора Псковской области от 15 декабря 2023 г. № 282-УГ "О предельных (максимальных) индексах изменения размера вносимой гражданами платы за коммунальные услуги в муниципальных образованиях Псковской области на период 2024 - 2028 годов"
Номер опубликования: 6000202512150001
Дата опубликования: 15.12.2025
Страница №17 из 30:
Увеличить