Официальное опубликование правовых актов
ОФИЦИАЛЬНОЕ ОПУБЛИКОВАНИЕ
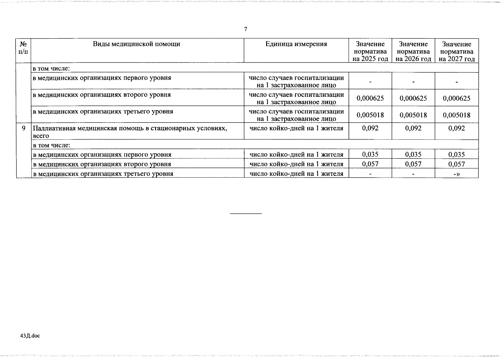
Постановление Правительства Псковской области от 03.03.2025 № 68
"О внесении изменений в территориальную программу государственных гарантий бесплатного оказания гражданам медицинской помощи в Псковской области на 2025 год и на плановый период 2026 и 2027 годов"
Номер опубликования: 6000202503050001
Дата опубликования: 05.03.2025
Страница №89 из 160:
Увеличить