Официальное опубликование правовых актов
ОФИЦИАЛЬНОЕ ОПУБЛИКОВАНИЕ
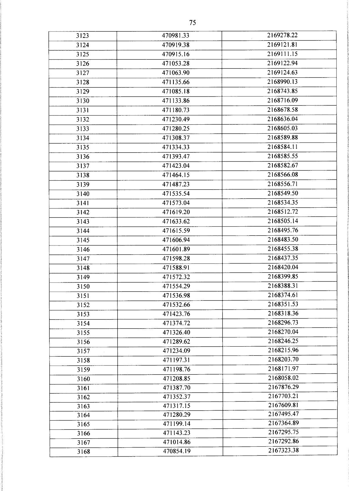
Закон Псковской области от 07.05.2024 № 2490-ОЗ
"О преобразовании муниципальных образований, входящих в состав муниципального образования "Порховский район"
Номер опубликования: 6000202405080004
Дата опубликования: 08.05.2024
Страница №82 из 146:
Увеличить