Официальное опубликование правовых актов
ОФИЦИАЛЬНОЕ ОПУБЛИКОВАНИЕ
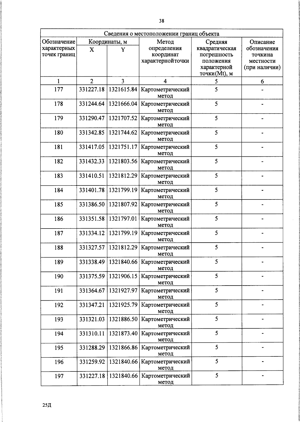
Постановление Правительства Псковской области от 06.03.2024 № 60
"Об утверждении Генерального плана сельского поселения "Красноармейская волость" Себежского района Псковской области"
Номер опубликования: 6000202403120009
Дата опубликования: 12.03.2024
Страница №40 из 174:
Увеличить