Официальное опубликование правовых актов
ОФИЦИАЛЬНОЕ ОПУБЛИКОВАНИЕ
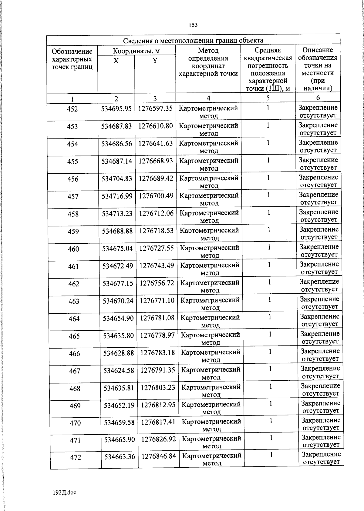
Постановление Правительства Псковской области от 28.11.2023 № 464
"Об утверждении Генерального плана сельского поселения "Середкинская волость" Псковского района Псковской области"
Номер опубликования: 6000202312010007
Дата опубликования: 01.12.2023
Страница №155 из 841:
Увеличить