Официальное опубликование правовых актов
ОФИЦИАЛЬНОЕ ОПУБЛИКОВАНИЕ
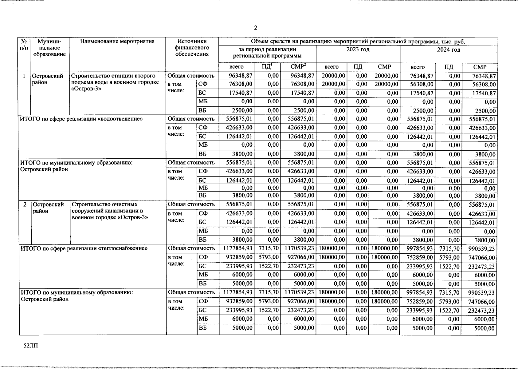
Постановление Правительства Псковской области от 09.11.2023 № 443
"О внесении изменений в региональную программу по модернизации систем коммунальной инфраструктуры Псковской области на 2023-2027 годы"
Номер опубликования: 6000202311100001
Дата опубликования: 10.11.2023
Страница №9 из 15:
Увеличить