Официальное опубликование правовых актов
ОФИЦИАЛЬНОЕ ОПУБЛИКОВАНИЕ
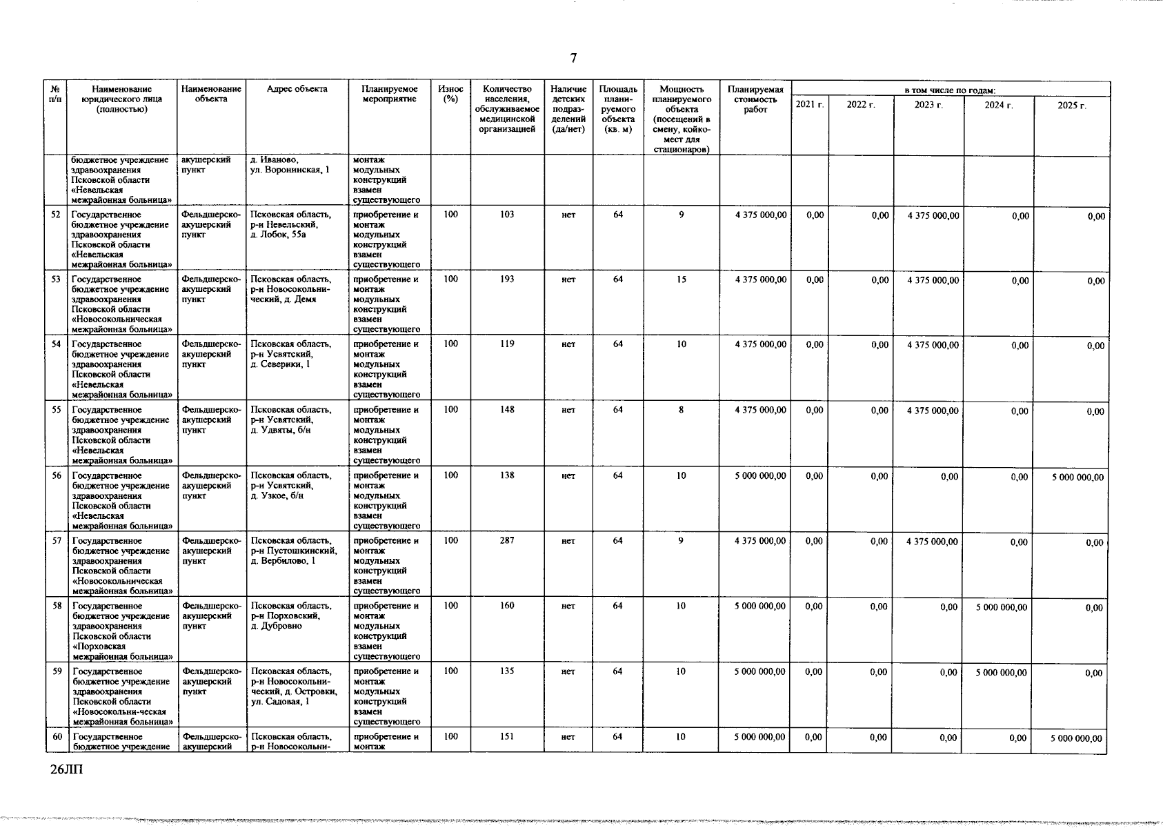
Постановление Правительства Псковской области от 24.10.2023 № 423
"О внесении изменений в региональную программу "Модернизация первичного звена здравоохранения Псковской области"
Номер опубликования: 6000202310310001
Дата опубликования: 31.10.2023
Страница №32 из 1127:
Увеличить