Официальное опубликование правовых актов
ОФИЦИАЛЬНОЕ ОПУБЛИКОВАНИЕ
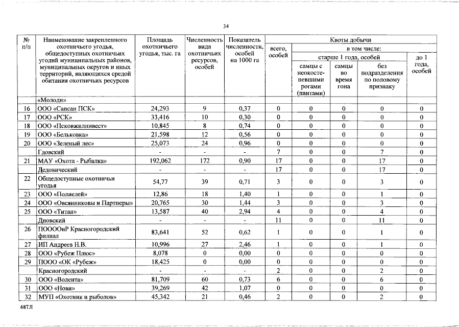
Указ Губернатора Псковской области от 24.07.2023 № 149-УГ
"О лимитах и квотах добычи охотничьих ресурсов на территории Псковской области на период с 01 августа 2023 года до 01 августа 2024 года"
Номер опубликования: 6000202307270002
Дата опубликования: 27.07.2023
Страница №37 из 54:
Увеличить