Официальное опубликование правовых актов
ОФИЦИАЛЬНОЕ ОПУБЛИКОВАНИЕ
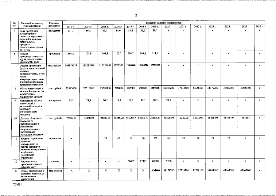
Постановление Правительства Псковской области от 13.06.2023 № 252
"О внесении изменений в Государственную программу Псковской области "Содействие экономическому развитию, инвестиционной и внешнеэкономической деятельности"
Номер опубликования: 6000202306150003
Дата опубликования: 15.06.2023
Страница №19 из 61:
Увеличить