Официальное опубликование правовых актов
ОФИЦИАЛЬНОЕ ОПУБЛИКОВАНИЕ
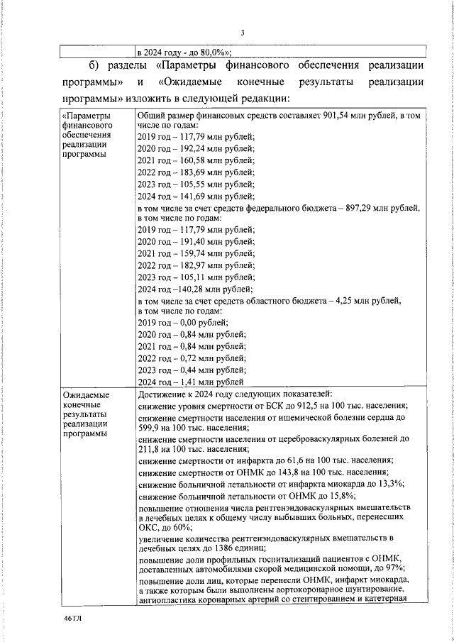
Постановление Правительства Псковской области от 12.05.2023 № 202
"О внесении изменений в региональную программу Псковской области "Борьба с сердечно-сосудистыми заболеваниями"
Номер опубликования: 6000202305160003
Дата опубликования: 16.05.2023
Страница №3 из 35:
Увеличить