Официальное опубликование правовых актов
ОФИЦИАЛЬНОЕ ОПУБЛИКОВАНИЕ
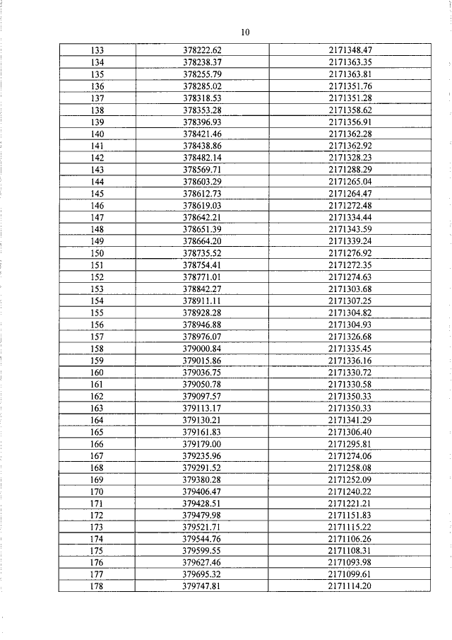
Закон Псковской области от 02.03.2023 № 2352-ОЗ
"О преобразовании муниципальных образований, входящих в состав муниципального образования "Локнянский район"
Номер опубликования: 6000202303060010
Дата опубликования: 06.03.2023
Страница №15 из 82:
Увеличить