Официальное опубликование правовых актов
ОФИЦИАЛЬНОЕ ОПУБЛИКОВАНИЕ
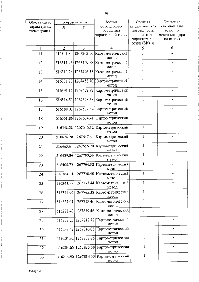
Постановление Правительства Псковской области от 29.11.2022 № 306
"Об утверждении Генерального плана сельского поселения "Ершовская волость" Псковского района Псковской области"
Номер опубликования: 6000202212020011
Дата опубликования: 02.12.2022
Страница №81 из 125:
Увеличить