Официальное опубликование правовых актов
ОФИЦИАЛЬНОЕ ОПУБЛИКОВАНИЕ
Постановление Правительства Псковской области от 11.11.2022 № 268
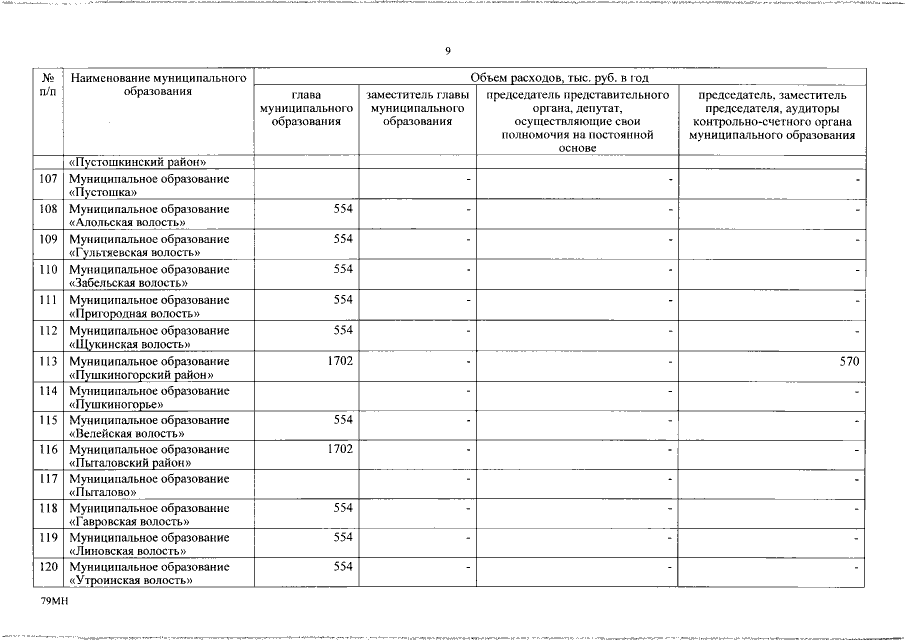
"О внесении изменений в постановление Администрации Псковской области от 07 декабря 2021 г. № 444 "Об установлении нормативов формирования расходов на оплату труда депутатов, выборных должностных лиц местного самоуправления, осуществляющих свои полномочия на постоянной основе, и муниципальных служащих в муниципальных образованиях Псковской области на 2022 год"
Номер опубликования: 6000202211150007
Дата опубликования: 15.11.2022
Страница №11 из 20:
Увеличить