Официальное опубликование правовых актов
ОФИЦИАЛЬНОЕ ОПУБЛИКОВАНИЕ
Постановление Правительства Псковской области от 28.06.2022 № 37
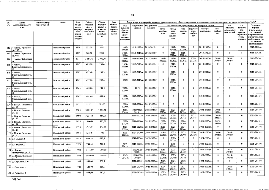
"О внесении изменений в постановление Администрации Псковской области от 07 февраля 2014 г. № 30 "О региональной программе капитального ремонта общего имущества в многоквартирных домах, расположенных на территории Псковской области, на 2014 - 2043 годы"
Номер опубликования: 6000202207010008
Дата опубликования: 01.07.2022
Страница №80 из 250:
Увеличить