Официальное опубликование правовых актов
ОФИЦИАЛЬНОЕ ОПУБЛИКОВАНИЕ
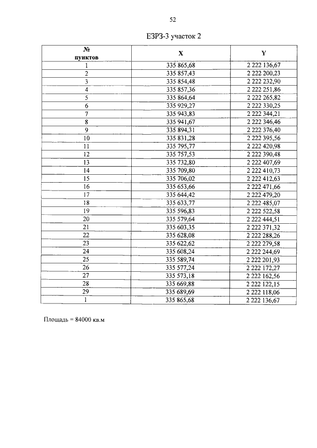
Постановление Псковского областного Собрания депутатов от 28.04.2022 № 208
"О границах объединенной зоны охраны объектов культурного наследия федерального и регионального значения города Великие Луки и требованиях к градостроительным регламентам в границах данных зон"
Номер опубликования: 6000202204290007
Дата опубликования: 29.04.2022
Страница №56 из 103:
Увеличить