Официальное опубликование правовых актов
ОФИЦИАЛЬНОЕ ОПУБЛИКОВАНИЕ
Постановление Администрации Псковской области от 26.11.2021 № 429
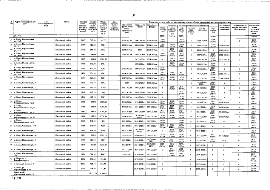
"О внесении изменения в Региональную программу капитального ремонта общего имущества в многоквартирных домах, расположенных на территории Псковской области, на 2014-2043 годы"
Номер опубликования: 6000202112010006
Дата опубликования: 01.12.2021
Страница №52 из 173:
Увеличить