Официальное опубликование правовых актов
ОФИЦИАЛЬНОЕ ОПУБЛИКОВАНИЕ
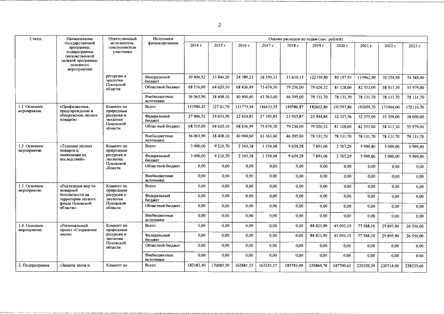
Постановление Администрации Псковской области от 15.11.2021 № 406
"О внесении изменений в Государственную программу Псковской области "Развитие лесного хозяйства"
Номер опубликования: 6000202111180007
Дата опубликования: 18.11.2021
Страница №38 из 58:
Увеличить