Официальное опубликование правовых актов
ОФИЦИАЛЬНОЕ ОПУБЛИКОВАНИЕ
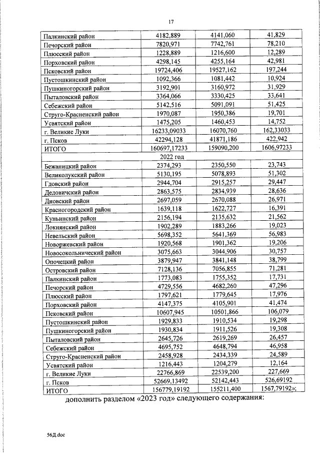
Постановление Администрации Псковской области от 27.04.2021 № 136
"О внесении изменений в Государственную программу Псковской области "Формирование современной городской среды"
Номер опубликования: 6000202104300004
Дата опубликования: 30.04.2021
Страница №17 из 56:
Увеличить