Официальное опубликование правовых актов
ОФИЦИАЛЬНОЕ ОПУБЛИКОВАНИЕ
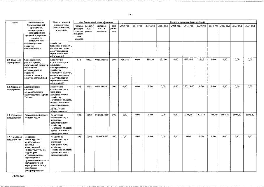
Постановление Администрации Псковской области от 16.12.2020 № 450
"О внесении изменений в Государственную программу Псковской области "Обеспечение населения области качественным жильем и коммунальными услугами"
Номер опубликования: 6000202012220001
Дата опубликования: 22.12.2020
Страница №151 из 178:
Увеличить