Официальное опубликование правовых актов
ОФИЦИАЛЬНОЕ ОПУБЛИКОВАНИЕ
Постановление Администрации Псковской области от 15.09.2020 № 326
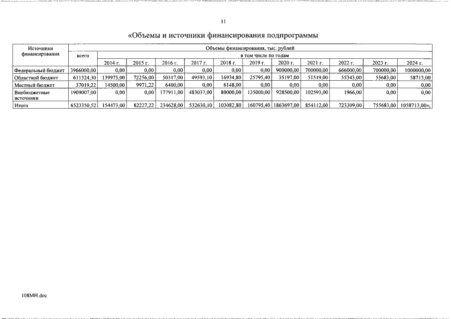
"О внесении изменений в Государственную программу Псковской области "Содействие экономическому развитию, инвестиционной и внешнеэкономической деятельности"
Номер опубликования: 6000202009180002
Дата опубликования: 18.09.2020
Страница №11 из 94:
Увеличить