Официальное опубликование правовых актов
ОФИЦИАЛЬНОЕ ОПУБЛИКОВАНИЕ
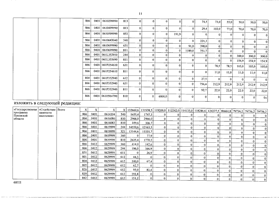
Постановление Администрации Псковской области от 05.08.2020 № 280
"О внесении изменений в Государственную программу Псковской области "Содействие занятости населения"
Номер опубликования: 6000202008110003
Дата опубликования: 11.08.2020
Страница №11 из 19:
Увеличить