Официальное опубликование правовых актов
ОФИЦИАЛЬНОЕ ОПУБЛИКОВАНИЕ
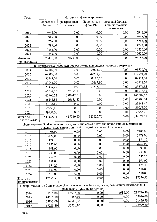
Постановление Администрации Псковской области от 09.06.2020 № 197
"О внесении изменений в Государственную программу Псковской области "Социальная поддержка граждан и реализация демографической политики"
Номер опубликования: 6000202006150001
Дата опубликования: 15.06.2020
Страница №6 из 103:
Увеличить