Официальное опубликование правовых актов
ОФИЦИАЛЬНОЕ ОПУБЛИКОВАНИЕ
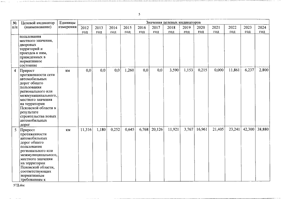
Постановление Администрации Псковской области от 22.05.2020 № 167
"О внесении изменений в Государственную программу Псковской области "Развитие транспортной системы"
Номер опубликования: 6000202005270003
Дата опубликования: 27.05.2020
Страница №60 из 146:
Увеличить