Официальное опубликование правовых актов
ОФИЦИАЛЬНОЕ ОПУБЛИКОВАНИЕ
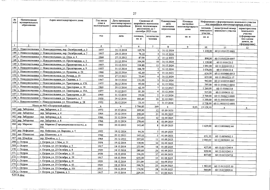
Постановление Администрации Псковской области от 14.04.2020 № 123
"О внесении изменения в областную адресную программу "Переселение граждан из аварийного жилищного фонда в 2019-2025 годах"
Номер опубликования: 6000202004170004
Дата опубликования: 17.04.2020
Страница №28 из 36:
Увеличить