Официальное опубликование правовых актов
ОФИЦИАЛЬНОЕ ОПУБЛИКОВАНИЕ
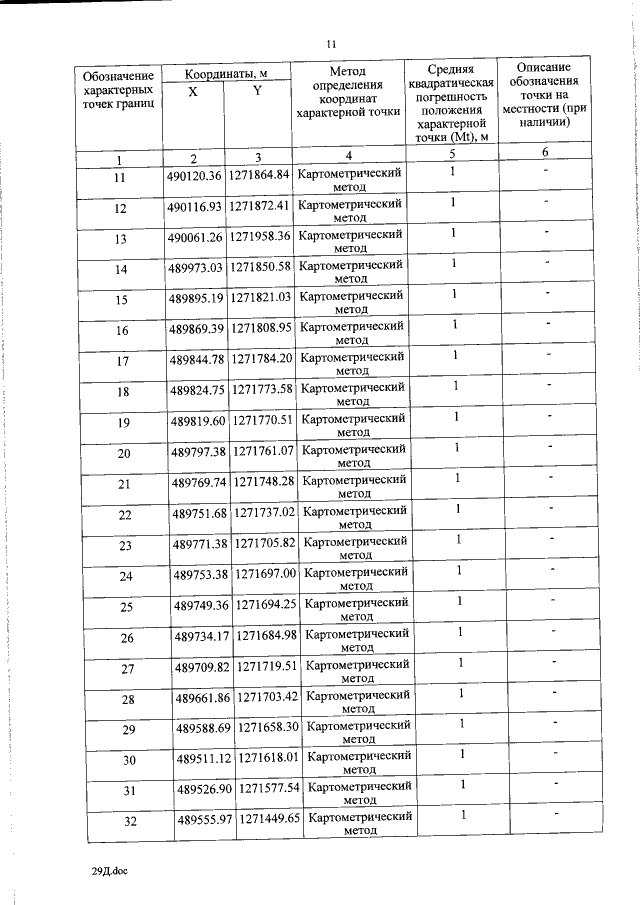
Постановление Администрации Псковской области от 27.03.2020 № 87
"О внесении изменения в Генеральный план муниципального образования "Тямшанская волость" Псковского района Псковской области"
Номер опубликования: 6000202004020001
Дата опубликования: 02.04.2020
Страница №35 из 268:
Увеличить