Официальное опубликование правовых актов
ОФИЦИАЛЬНОЕ ОПУБЛИКОВАНИЕ
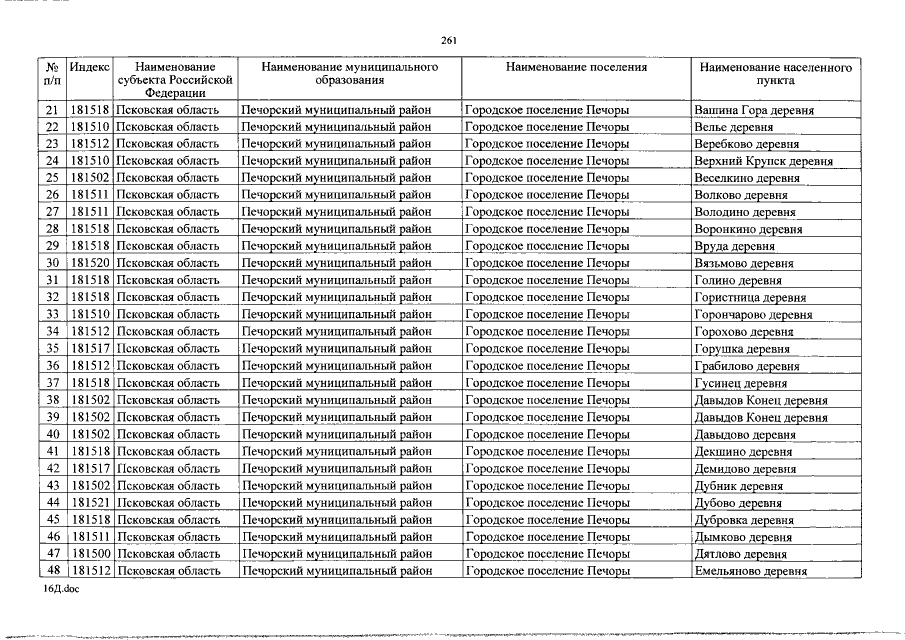
Постановление Администрации Псковской области от 02.03.2020 № 54
"О Перечне отдаленных или труднодоступных местностей на территории Псковской области, где организации и индивидуальные предприниматели могут осуществлять наличные денежные расчеты и (или) расчеты с использованием платежных карт без применения контрольно-кассовой техники"
Номер опубликования: 6000202003050002
Дата опубликования: 05.03.2020
Страница №263 из 435:
Увеличить