Официальное опубликование правовых актов
ОФИЦИАЛЬНОЕ ОПУБЛИКОВАНИЕ
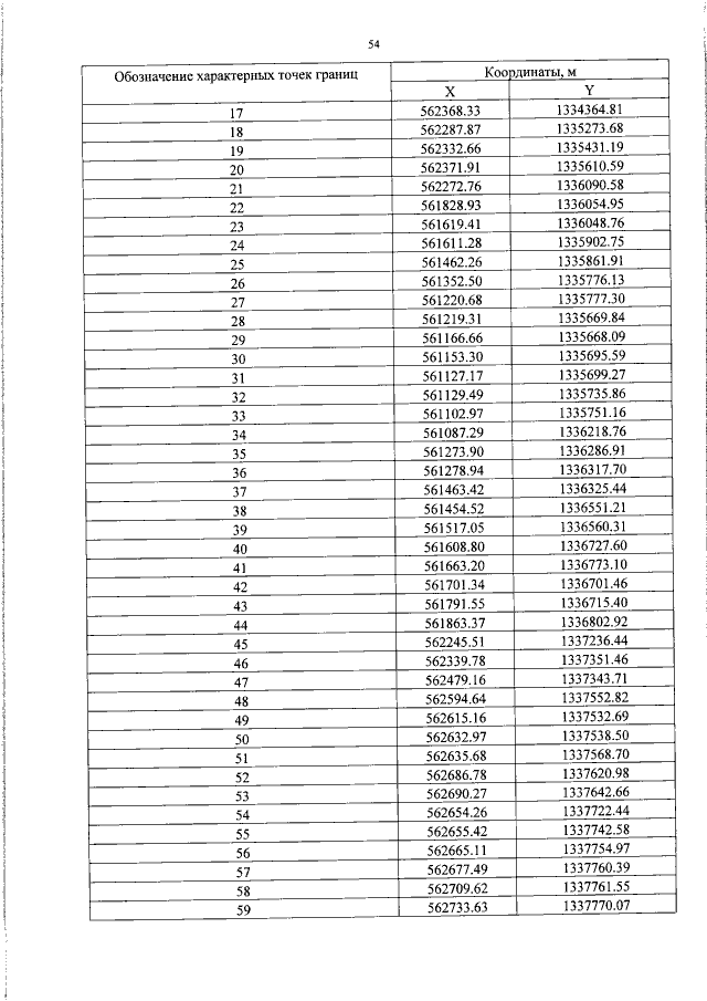
Постановление Администрации Псковской области от 12.07.2019 № 279
"О внесении изменений в постановление Администрации области от 27 июня 2005 г. № 266 "Об утверждении Положений о государственных природных зоологических заказниках Псковской области"
Номер опубликования: 6000201907190001
Дата опубликования: 19.07.2019
Страница №54 из 75:
Увеличить